注意事项
1、考试必带:身份证原件、准考证、体温检测表(每科一张)、电子健康码、两支0.5毫米的黑色水性笔、考试专用2B铅笔、橡皮擦等。
2、提前到达考场:开考15分钟后迟到考生不准入场。
3、接到试卷后,先写上姓名、准考证号。清点一下试卷是否齐全,检查一下卷面印刷是否清楚。
4、尊重监考老师,任何情况别跟监考老师及巡考人员发生冲突。
5、考场上所有行动回避摄像头,不能有明显大动作。
6、卷面整洁:要做到卷面整洁、工整,答题时字迹清楚,不要过于潦草,同时,格式要规范。
7、在答题卡规定的区域答题。选择题用2B铅笔在选择题答题区作答,非选择题用黑色签字笔在非选择题答题区作答。不准用规定以外的笔和纸作答,不准在答卷、答题卡上做任何标记,否则答题卡无效。
8、考试时应避免提前离开考场,应避免留下空白题,应做完所有题目。一定要坚持把各门科目考完。
切记:
1. 先做会做的题目,会做的尽量做对,格式一定正确。
2. 不会做的尽量填满,一定要做到不空题目,特别是语文作文。
语文
1、选择题排除法
2、谨记现代文阅读和诗歌的答题技巧是“答案在文中找”,在与所问问题相关的段落中就能找出答
3、作文要围绕中心写,一定要写完,不留空白。不会写的,可以到前面的阅读文段中摘抄句子填补进去。如到后面作文难以写下去,写流水帐也要把作文空格基本填满
专科的语文基本上是我们专科的主要的得分科目。至少我们大家还是可以看得懂它在讲什么。
语文要的题型是选择题+简答题+作文三种组合而成,选择题40分+简答题50分+作文60分=150分
作文是我们的重头戏!!拿到试卷首先写好作文再做其它题目。
作文要求很简单:
1、字数要求600字
2、不跑题,不偏题;
3、卷面工整,字漂亮!
达到以上三点作文至少都会有四十分以上。
但是我们有些同学们已经很久没有写过作文了,刚开始的很多时候提笔忘字那是免不了,或者是实在写不够字数的这也常见,所以在这里我们唯—个要复习的内容就是语文的作文啦!!!!
在考试前一周的时间里写作文!这很重要!!!哪怕只是一篇我相信在成人高考中你的作文至少会提高一个档次,字数不够的拼命地举例子!—个不够就举两个例子,两个不够就三个,反正就要最少六百个字
选择题,共有十道题!每道题是4分。靠的是知识积累,基本方法是:回想自己生活中熟恶的语句,先确定某个选择(确定是或者不是),采用排除法逐渐剔除不是答案的选项,优选出可能的答案。
统计了近五年的试卷选样题答案
1、选项B还有C出现的概率比较多而且比较平稳,一般都会有三个左右
2、选项A出现的概率最小,基本上只会有1个,最多的时候也就2个。所以在我们完全不会做的情况之下,我
们可以选样B.C为主!
3、要有规律地选样,比如第题选B最后一题选B中间的题目都选C,或者可以按选一个B加四个C的顺序往下选择,比如说 BCCCC. BCCCD这样子。当然这是建立在你完全不会的前提下,如果你可以肯定你的答案是正确的请以你的答案为主。
阅读题,就没有什么技巧可以说的了,不过它是客观题,最容易拿分,给出的阅读题都比较简单,要注意审题、联系历史、联系生活,把握文章整体意思后来作题。很多问题可以直接从文章中找出答案,所以只要细心。大家想到什么就写什么,不会写的也要写!
原则是:
1、一定要写满了,只要沾点边都会有分,所以要多写一些:
2、字一定要工整,会有印象分的
3、题目问什么问题就回答,比如题目问“两位老人怎么各自描绘胡杨的“大家只要回到短文面找到这一段话,抄上来就可以了。
作文一定要写满字数,专科600字,本科800字,因为作文占的分数多,很多老师是看你的字给分,写的质量好坏到是其次,所以有的考生没写完作文很吃亏。可以说写满的烂文章,给的分数定比才完成一半的好作文分数高很多。所以我们的观念一定要变,一定要留足时向写作文。
如到后面作文难以写下去,写流水帐也要把作文空格基本埴满。
政治
政治可以说是我们这里面最简单的一门科目,仔细地看近五年来的政治试卷其实它一点都不难,它主要的分值构成有选择题80+判断题20+简答题30+论述题20=150分
无论如何不能留空白!!!不能留空白!不能留空白!说了三次,自己慢慢体会!!!
在这给大家强调,政治考试现在执行的都是给分制度,而不是扣分制,要你写的东西跟答案有关就可以得分,你写错了不扣分。
就算有两条答案是完全相反的,老师只会因为你那条正确的答案给分,而不会因为你的错误答案扣你的分数。
当然前提是和谐,如果对现今社会有什么不是很满意的地方最好就不要表现出来了。所以我们面对大题的态度就是很简单:会写的先写,不会写的就在我们选择题的选项找,有点相关性的东西就往上面抄,不管对不对,就算还有一点空白的地方也要写点东西上去。
选择题,40题,每小题2分,合计80分
主要靠自己平常的知识积累,一定要反复咀嚼题干,捕捉题干信号,弄清楚题干的要求,选出最佳选项。当然,第一还是排除法。
选择题部分一共四十道选择题,每道题目是两分,其中36道是一些基本的概念,四道是我们的时事政治题。那些基本的概念题,我们的考前辅导书上课后练习部分中的选择题就有十分类似的题目,基本考试的概念在这里都可以找得到,我们要做的十分简单就是把答案抄下来之后看上几遍就基本没有问题了。
我们的政治辅导书每章节大概就只有6到7道选择题,一共才不到七十道选择题,所以我们完全看完是没有问题的,时事政治方面就只能看大家努力了
辨析题每小题10分,合计20分。
特别注意的是辨析题的判断,千万不要盲目笼统的说其对错,例如一些题目的前半部分是对的而后半部分产错的,有的题目说的不全面,这些都要指出。
判断题
一共有两道题目,我对近七年来的政治试卷统计了一下,第一道判断题是错的概率是100%,而第二道题是错的概率是40%左右。这个数据在我们不懂得情况下可以参考着用,但是不可以作为决定性的东西!!!
每个题目的答案我都在选择题上看到了一些相关的内容,所以当我们豪无头绪的时候可以在选择题里面寻找灵感。
简答题3题,每小题10分,合计30分。
表述尽量准确,但不苛求一次不差,如果记住的原理文字量太少,显得内容不丰满,可尝试在正面阐述后,再反面阐述的方式丰富答案。
实在不行就解释每一个概念并写出原理的基本内容。
论述题1题合计20分。
可适当复述材料,利用题目提供的材料复制部分答案;如想到的角度多,话头就别太长,多角度能够提高命中率。
若想到的角度少就可以多写话,以较丰满的文字加重份量。
最后,归纳并复述基本观点,突出论点,加深印象。这一部分是绝对送分的,但也要有技巧。
要将其作为一个段落可将整个题目再复述一遍,不要忘记在前面加上——所以
下面提供两道简答题以供参考
答:
(1)改、发、稳是一个有机整体。它们的相互关系贯穿于社义现代化建的全过程,是一个需要高度重视、认真处理的重大问题
(2)发展是目的,“发展才是硬道,中国解决自身一切问题的关键是要靠自己的发展,特别是经济的发展。改革是动力,只有改革,才能克服过去形成的影响社会发展和人民生活水平提高和各种旧体制,才能解决生发展过程出现的各种新问题,为生的发展开辟广阔的空间。稳定是前提,改革和发展都需要良好的社会环境作保证。中国发展的条件,关键是社会稳定,一个是政局稳定,一个是政策稳定,发展的目的,改革是动力,稳定是前提。
(3)处理改、发、稳三者相互关系时首先要树立发展的观念。只有发展,改革才能持续下去,深入下去,才不会半途而废。而改革又是发展不可缺少的推动的力量。所以,一方面,离开改革不可能发展,改革是发展的动力;另一方面,离开发展也不可能改革,发展是改革的目的。两者相互联系,不可分离。改革和发展离不开稳定的社会环境,同时,稳定的社会环境也离不开改革和发展,改革和发展是造成稳定的社会环境的物质基础。要形成并保持稳定的社会局面,就必改革和发展。只有通过改革,大力发展生,增强国家的综合国力,提高人民的生活水平,才能形成全社会的凝聚力,才能从根本上保证社会的稳定。
试述实施可持续发展战略的必要性和
答:
(1)可持续发展,是指满足当前需要而又不削弱子孙后代满足其需要之能力的发展,而且绝不包含侵犯国家主权的含义。
(2)可持续发展的概念是在环境问题危及到人类的生存和发展,传统的发展模式严重地制约了经济发展和社会进步的背景下产生的,是人们对传统发展观的反思和创新。
(3)实施可持续发展对中国有着更为重要的意义,作为一个发展中国家,经过建国几十年的发展,经济建设和社会进步都取得了重大成就,但中国人口众多、自然资源短缺、经济基础和技术能力还非常薄弱的国家,现代化建设中必须实施可持续发展战略。
(4)我国实施可持续发展战略,必须:①控制人口增长,提高人口质量;②合理利用资源,坚持开发与节约并重;③加强治理污染,保护生态环境。
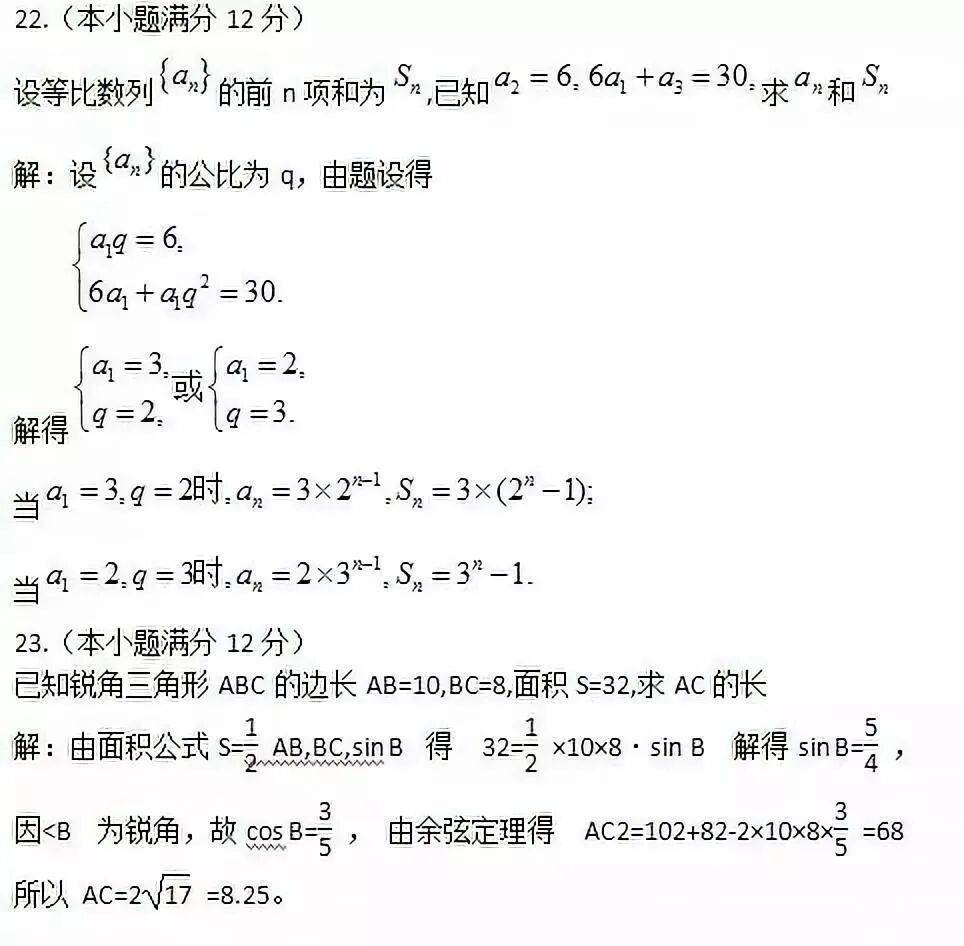
数学
数学对于同学们来说确实是个头痛的事,估计看得懂的一个巴掌数得过来。
但还是有方法,想在完全看不懂题目的情况下尽可能地拿到分吗?答案是可以有的。
首先是选择题,统计近几年的选择题答案,答案的分布式是很平均的,基本上每个选项都是差不多。
还有就是这两年来,选择题第一道题目的答案跟最后一道题目的答案是一样的,而近五年来A这个答案都不出现在选择题第一道题还有最后一道题中,所以在我们完全看不懂题目的前提之下,选择题方面建议是头尾选择一个选项,中间的其它十五道题目选一个选项,例如:DBBBB,BBBBB,BBBBB,BD。
具体的东西就由大家到了考场结合实际情况决定,但是一切的前提之下都是在你完全不会做的前提之下,如果会做的就直接做。
还有不可以完全都选择一个选项,这样做是没有成绩的!!
选择题:1-12小题,每小题 7分,共84分
一般来说前面几道题比较容易,可以把4个答案往题目里面套,看哪个答案符合,看那个是正确的,提高准确率,分数容易拿。
2007年成考数学选择题答案 1-5DCCCA 6-10 ABDDB 11-15 ACACB 16-17 DB
2008年成考数学选择题答案 1-5 BADBA 6-10 DBACD 11-15 ACBAC 16-17 CC
2009年成考数学选择题答案 1-5 BDDCB 6-10 CDBAB 11-15 DCACA 16-17 CA
2010年成考数学选择题答案 1-5 CCABB 6-10 ADADB 11-15 AADCC 16-17 DB
2012成考数学选择题答案 1-5CBDCB 6-10 ADADB 11-15 AACDC 16-17 BC
2013年成考数学选择题答案 1-5 DCBDC 6-10 DBCAD 11-15 ABABCC 16-17 CD
2014年成考数学选择题答案 1-5 CDABB 6-10 CDACA 11-15 DDBCD;16-17AB
2015年成考数学选择题答案 1-5 CAACD 6-10 DDBBA 11-15 ACBCD;16-17 BC
填空题:13-15小题,每小题 7分,共21分
填空题主要有四道题目填空题要当作选择题来答,假如答案是常数的话,出现-1,0,1,2,√2 (根号2)的可能性很大,根据自己的判断。请看往年专科数学情况:
2008年成考填空题答案:(18) -4\3 (19) ¾ ∏ (20) 6 (21) 5.2
2009年成考填空题答案:(18) 1 (19) (20) 9.2 (21)
2010年成考填空题答案:(18) , (19)6x-y-3=0 (20)r=-2 (21)1.62
2014年成考填空题答案:(18)(3,2,9) (19)y=x-2 (20)3/2 (21)8.7
2015年成考填空题答案: 18题:0<x<2;19题:p=4;20题:2x-y+7=0
特别要提醒大家的是:完全不懂也不要放弃大题的分数
最后就是大题了!大题估计有很多学生会很头疼!其实不用着急,因为在这其中也是有迹可循的。
简答题:16-18小题,每小题15分,共45分
第一个部分是一个‘解’字,会有1分!这个我想大家都会了;
第二部分就是条件部分,这个在我们的数学试卷的题目上是有写的,照抄我想大家也会啦,这是2-3分;
之后就是分析过程还有答案分,这就不是我们所能做的了,加起来12分!举个例子题目条件为A=1,B=2问C=? D=? 我就回答解:∵A=1,B=2∴C=3(随便写),之后就是∵A=1,B=2,C=3∴D=4(随便写)。
前面几道题一般是解答题,特点是一层一层往下求解,最终求出一个答案。完全不懂怎么办?
策略:我们可以按照题目,变化一下公式,能顺着下来多少就是多少,最后一定把答案写上(假如真的不懂,可以随便想一个写上,当然也是根据自己的判断,有些答案是0或者1,有些函数解)。
总之,无论任何题型,想办法往最可能的答案写,无论懂否,一定要往下写,尽量多写。不能是空白。
下面提供道解答题以供参考:

本科:高等数学
1、没有任何高数基础的,这门的确很难拿分。但是我们运用真题战术。在考前培训视频中,把老师讲解的真题的解答过程看熟悉,记住运算的过程。因为在历年的考试,是换汤不换药,考点都一样,同一类型的题目,我们把运算过程套用进去就可以解出答案来。
2、选择题不会填写的可以统一选择一个答案如B或者C。
3、将数学公式背熟,遇到不会写的解答题,则直接把公式写上去。
“把会做的做完,不会做的也做完”。至于怎么样把不会做也做完,这个就需要各位各显神通,灵活运用!
在考前可看一下往年试题,让自己有心理准备和适应性,拿到试卷不要慌张,淡定回到上面那句箴言“把会做的做完,不会做的也做完”。
英语(大学英语)
英语对于年龄比较大的同学来说,分开了26个字母都不一定认得全,合起来就更加别提了,但是概率学可以帮助我们解决这个问题。
1、1—50题为选择题:共105分,每个大题的第一题一般不会是A,其他的就随便写或者5个B,5个C,5个D这样。51—55填空题是15分,随意选择B或者C。
(特别提醒:在不会做的情况才这样,会的就做完,不会的再蒙)
2、一定要记得把题目在答题卡上涂好。选择题占分好高。
3、根据复习资料中的《成考英语作文》把句子背熟,套用进去。
4、因为是流水作业改试卷,改卷老师从来没有也不会看过阅读理解里面的英文。如果完全不懂英语,或者英语非常差的可以从阅读理解里面摘抄英语句子,并且要抄写够字数。
选择题,不会做的,就通读句子感觉哪个通顺些,或者说哪些在生活中见的多些,就选择哪个。阅读题尽量在原文中找相近的句子,哪个接近就选哪个,这样正确率会稍微高点。
注意:一定要涂卡,涂好卡。105分
统计了近几年的选择题答案,选择题一共有五十道题目,中间有非阅读理解题35道,阅读理解15道,答案相对比较平均都是占四分一左右,而选项A略少一些而已。
对于非阅读理解的部分建议是用1:9的比例进行选择:
例如选择1-10题就是BCCCC,CCCCC就按这个规律进行选择都是这样选。而对于我们的阅读理解的部分一共是15道题目,我也统计了一下答案是最长的平均下来有5题左右,特别是十分明显三短一长的选最长基本上都是正确的,而三长一短选最短的口诀在这里也是有用的!概率这么高是有道理的,因为成人高考也是国家重要的考试,对于答案以及题目都会有严格的规定,一般为了让我们的正确答案没有歧义,都会加入一些限定性单词或者修饰性的东西,就是为了答案的正确性,从表象来看就是正确答案的句子会显得比较长!
所以阅读理解十五道题目就通过选最长的为主,如果都差不多的话我们就选之前我们选的最多的那个选项!!B,C是比较好的选择。
完形填空,15分,会做的同学就努力一下,不会的同学就随便在阅读理解找一些东西抄上去。千万不要空着!
这是为了你卷面的完整性,而且什么都不写的话就一定没有机会,写一写就有一线的希望!
作文:
对于英语作文来说是个大大地头痛的东西。对于有点基础的同学来说就先翻译题目给我们的那一段中文,而不会写的单词就在前面的试卷找,真找不到就看哪个比较像抄上去,翻译完之后还不够文字,实在没有办法了就找一段阅读理解抄上去。
抄的小技巧:
1.不抄头不抄尾,就抄中间段。从头抄到尾不就摆明你抄的嘛,我们还是矜持一些抄中间段;
2.多抄一些准没错,没有功劳也有苦劳;
3.字迹工整,卷面整洁。相信我你会有惊喜的!!
本科英语与专科英语基本是一样的就是阅读理解比较多一些而已。主要的方法与专科英语差不多,大家可以参考专科英语。其实本科英语貌似比专科要简单一些,在完全不看题目的情况下,用上述的方法来做本科英语的分数(选择题部分),要比专科的部分高,特别是阅读理解。
下面提供两篇范文以供参考:
My Dream我的梦想
I have a dream from the first time I sit in a car—I want to drive. Driving is the most meaningful way to meet human being’s desire of “faster”. What’s more, driving a car can take me to any place I want whether it rains, snows, blows or not. A smooth ride in a good car is enjoyable. With rows of trees moving backward rapidly, music played, breeze blowing, my soul flies in the air. I love this feeling very much.
The Job I Like (my ideal job)我理想的工作