2004-2024年南京师范大学822化工原理考研真题试卷与参考答案
开心田螺
2026-04-09 23:23:37
0

*A-历年考研真题试卷与参考答案*

822化工原理 原 835化工原理

2004-2024年南京师范大学835化工原理考研真题试卷【不含05、07、09】

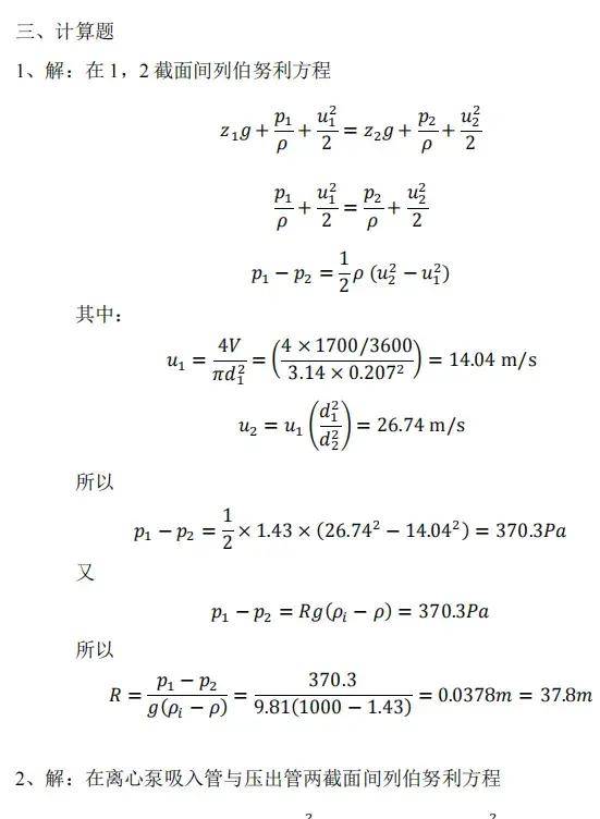
2004-2024年南京师范大学835化工原理考研真题参考答案【不含05、07、09】

相关内容

热门资讯

培训通知|美国数学学会Math... 2026年信息素养培训 Mathscinet与AMS电子刊 MathSciNet数据库是AMS于19...
宁夏回族自治区2026年考试录... 4月9日 宁夏人事考试中心发布 宁夏回族自治区2026年 考试录用公务员笔试成绩 合格分数线公告 ...
2027南京师范大学英语语言文... A:真题试卷与答案部分: 26代码: ③621综合英语④816外国语言文学基础知识与汉语写作 25代...
2027南京师范大学602数学... A:南师数分高代真题试卷及答案: 2000-2026年南京师范大学602数学分析考研真题试卷 200...
中南大学发布2026年强基计划... 中南大学近日发布2026年强基计划招生简章。 该校2026年强基计划招生专业为数学与应用数学、应用物...
三月校友相聚,每一场都很燃! 墨尔本 /MELBOURNE/ “过大年、庆元宵”校友聚会 3月7日,墨尔本校友会举办“过大年、庆...
学习进行时|根脉相连 薪火相传 【学习进行时】4月7日,习近平总书记给上海交通大学、西安交通大学、西南交通大学、北京交通大学全体师生...
刚刚!入围面试名单公布! 江西省2026年度考试录用公务员面试 及调剂有关事项公告 江西省2026年度考试录用公务员面试时间为...
2027南京师范大学马理论考研... *A -历年考研真题试卷与参考答案* 2026年科目:③631中国化马克思主义概论④840马克思主义...
省财政全力支持我省文物专业人才... 山西是文物资源大省,古建筑及彩塑壁画保护任务重、难度大。省财政厅认真贯彻落实习近平总书记关于加强历史...