
2024中科大少年班真题
01
数学学习能力测试考点&真题
围绕度量空间展开,包含空间、集合等考题,融合了分析、数论等内容,综合性较强。

02
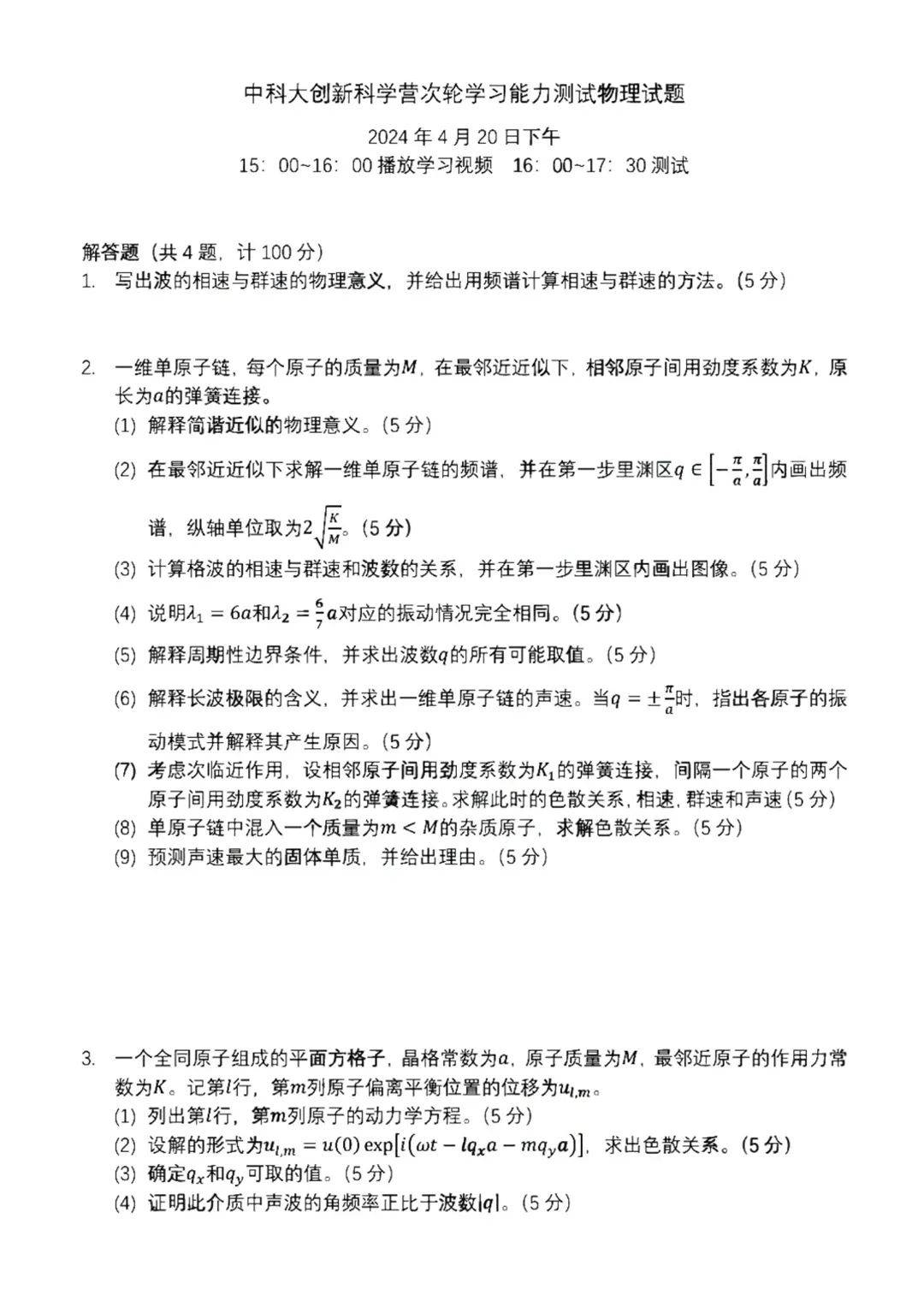
物理学习能力测试考点&真题
物理学习能力测试:围绕固体物理。

03
面试话题
面试包含3个话题,涉及12个材料,话题分别与量子信息技术、生物移植、人工智能相关。
量子信息的题目分别是:量子通信、量子计算、量子测量、量子探测(量子雷达)。
生物移植的题目分别是:自体移植、同种同基因移植、同种异基因移植、异种移植。
人工智能的题目分别是:AI和数学、物理、化学、生物的关系。
以往试题










中国科学技术大学少年班(少创班)备考资料
试卷资料
1:中科大少年班2018-2024数学试题解析
2:中科大少年班2020-2023物理试题解析
3:中科大数学物理强基计划试题汇总
录播课程
4:中国科学技术大学少年班培训录播课-数学-物理
文档
5:中国科学技术大学备考少年班攻略+科目讲解
购买咨询鸡蛋强基计划综合评价