
南京大学强基计划全解读|专业、真题一站式搞定,高三必看!
作为软科排名第6、国内顶尖的双一流、985、211高校,南京大学自2020年起实施强基计划,聚焦国家重大战略需求,选拔培养基础学科拔尖创新人才✨。对于志在南大、擅长基础学科的高三考生而言,这既是通往顶尖学府的特殊通道,也是深耕优势领域、实现长远发展的重要契机。今天,我们从政策解读、招生专业、录取分数、往年真题四大核心维度,为你全面拆解南大强基计划,助力高效备考、精准报考!
南大强基计划以“选拔有志于服务国家重大战略需求、综合素质优秀或基础学科拔尖的学生”为核心,采用“高考+校测+综合评价”的选拔模式,全程公开透明,核心要点如下,精准避开报考误区:
招生定位:聚焦基础学科,兼顾学科交叉,重点培养高端芯片与软件、智能科技、新材料等关键领域及人文社科紧缺人才,实行本研衔接培养,打造专属培养特区。
报考条件:分为两类考生,均可报考(不可兼报其他高校强基):① 综合素质和学业成绩优秀,基础学科拔尖;② 高中阶段在数学、物理、化学、生物学、信息学任一学科奥林匹克竞赛中获得全国决赛二等奖及以上奖项(学科特长类)。
选拔流程:网上报名→高考→校测(初试+复试,学科特长类免初试)→体测→综合成绩录取。其中,校测初试拟于6月15日左右进行,复试(含面试+体测)拟于6月17日左右进行,体测项目为50米跑和立定跳远,结果作为同等条件下优先录取依据。
综合成绩计算:高考成绩(不含政策加分)÷高考满分×850 + 校测成绩(满分150分),高考成绩占比85%,校测占15%,可见高考成绩是核心竞争力,校测是加分关键。
关键时间节点(参考2025年,2026年以官网为准):① 一类考生报名:4月23日-5月10日;② 二类考生报名:4月23日-5月7日;③ 校测确认:6月10日22:00前;④ 录取:高考成绩公布后、本科提前批次前完成。
南大强基计划招生专业均为学校优势学科,涵盖理、文两大领域,2025年新增智能科学、电子科学两个培养方向,进一步贴合国家战略需求,各专业培养特色、依托学院及选考要求如下,建议结合自身兴趣和学科优势选择:

数学与应用数学:依托数学学院,含数学与应用数学、智能科学两套培养方案(智能科学依托人工智能学院),聚焦数学基础研究与人工智能交叉领域,培养具备源头创新能力的人才,适合擅长逻辑推理、对数学研究有兴趣的考生。
信息与计算科学:依托计算机学院,侧重计算机与数学交叉,培养信息处理、计算科学领域的基础研究人才,适配擅长数学+计算机的考生,就业/深造方向涵盖软件、人工智能等领域。
物理学:依托物理学院,含物理学、天体物理、电子科学三套培养方案(电子科学依托集成电路学院),聚焦物理基础研究、天体物理及电子科学领域,培养服务国家战略性产业的人才,适合对物理实验、理论研究感兴趣的考生,是南大传统优势专业之一。
化学:依托化学化工学院,聚焦化学基础研究与新材料、医药等交叉领域,培养化学领域拔尖人才,适合擅长实验、细心严谨,对化学研究有志向的考生,往年录取分数相对适中(青海最低754.82分)。
生物科学:依托生命科学学院,侧重生命科学基础研究,培养生物医学、生态环境等领域的创新人才,适合喜欢生物实验、对生命科学研究有热情的考生,深造率极高,多进入顶尖科研院所。
新增方向:智能科学:依托人工智能学院,聚焦人工智能基础理论、方法与技术,培养能解决智能科学领域复杂问题的高水平人才,贴合国家人工智能战略,适合擅长数学、计算机,关注前沿科技的考生。
新增方向:电子科学:依托集成电路学院,聚焦半导体材料与器件、集成电路与系统等领域,培养服务国家先导性产业的基础研究人才,适配擅长物理、对电子信息领域感兴趣的考生,就业前景广阔。
文科类专业(选考要求:不限)汉语言文学(古文字学方向):依托文学院,聚焦古文字学、古典文献研究,培养传统文化领域的拔尖人才,适合热爱中文、对古文字、古典文学有浓厚兴趣,愿意深耕传统文化研究的考生,往年录取分数区间801.98分-890.5分。
历史学:依托历史学院,侧重中国史、世界史基础研究,培养历史学领域的研究型人才,适合喜欢历史、擅长史料分析、有人文情怀的考生,2024年四川文科最低776.37分,河南文科833.93分。
哲学:依托哲学学院,聚焦哲学基础理论、伦理学等领域,培养具备思辨能力、人文素养的创新人才,适合擅长思考、对哲学问题有探索欲,愿意从事人文社科研究的考生,是南大人文类优势专业之一。
南京大学
☑南京大学强基初试考情
文科部分:15道单选,共30分,单选题每道题6个选项,4道主观题共70分每道大题两问。文史哲都考,课外知识很多,难度很大!
理科部分:从10点考到11点30,总共一个半小时。理科校测分为化生综合和理科数理探究1、2,选择题部分难度很大,没有竞赛基础的同学做起来很吃力。


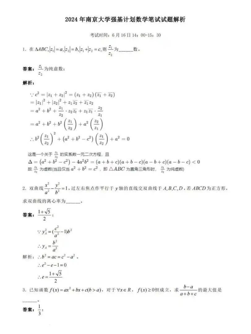
☑2025年南京大学强基计划回忆版真题


备考方案1:
南京大学强基计划备考资料包含
1:2020-2025年南京大学强基计划笔试真题(数学+物理)
2:南京大学强基计划面试真题及解答
3:南京大学强基计划面试备考技巧
4:强基计划数学物理笔试知识点补充课程
5:强基计划面试课程(录播课程)。
备考方案2:
南京大学强基计划面试集训班--鸡蛋教育
⏰ 开班时间:每日开班,灵活排班
📌 授课形式:线上腾讯会议(支持回放)
💡 课程内容(4 小时):
1h 近 3 年真题分类解析(自我认知 / 社会热点 / 专业题等 6 大题型)
1h 应答技巧(专业问题拆解逻辑 + 临场应变方法)
2h 全真模拟(还原 面试场景,考官实时点评)
🎓 师资力量:985/211 院校背景,3 年 + 综评培训经验,部分参与高校面试评审
✅ 过往成果:往年学员通过率 70%+
🎁 增值服务:赠《真题汇编》《时政热点集》,课后免费答疑


