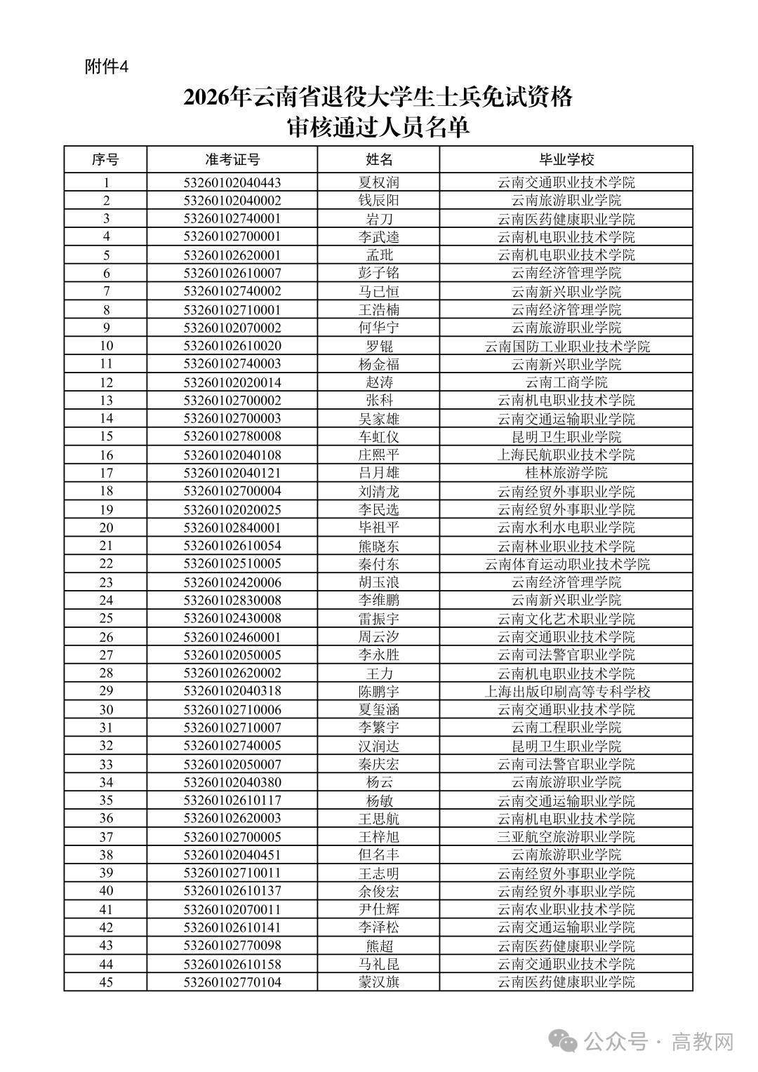
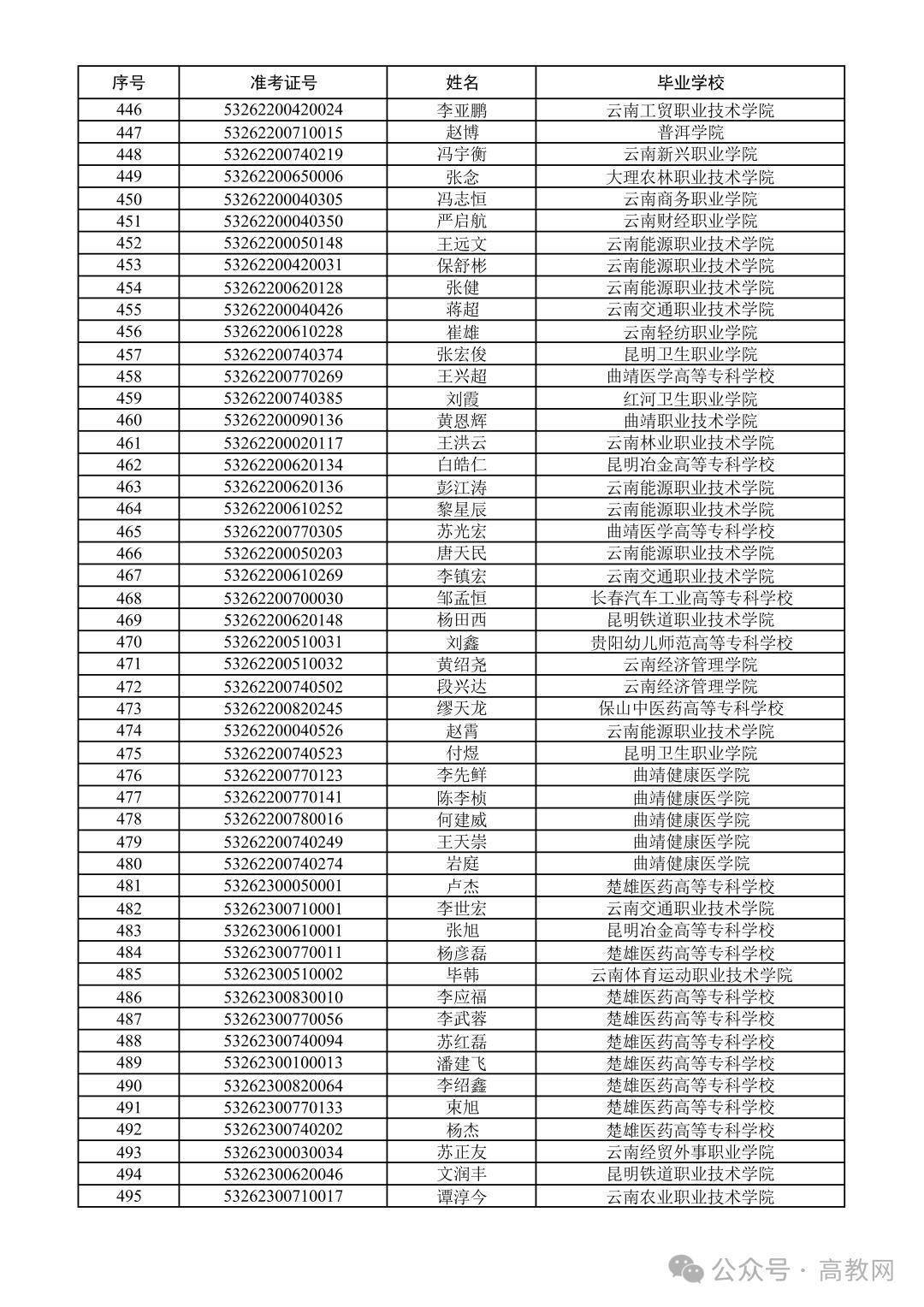
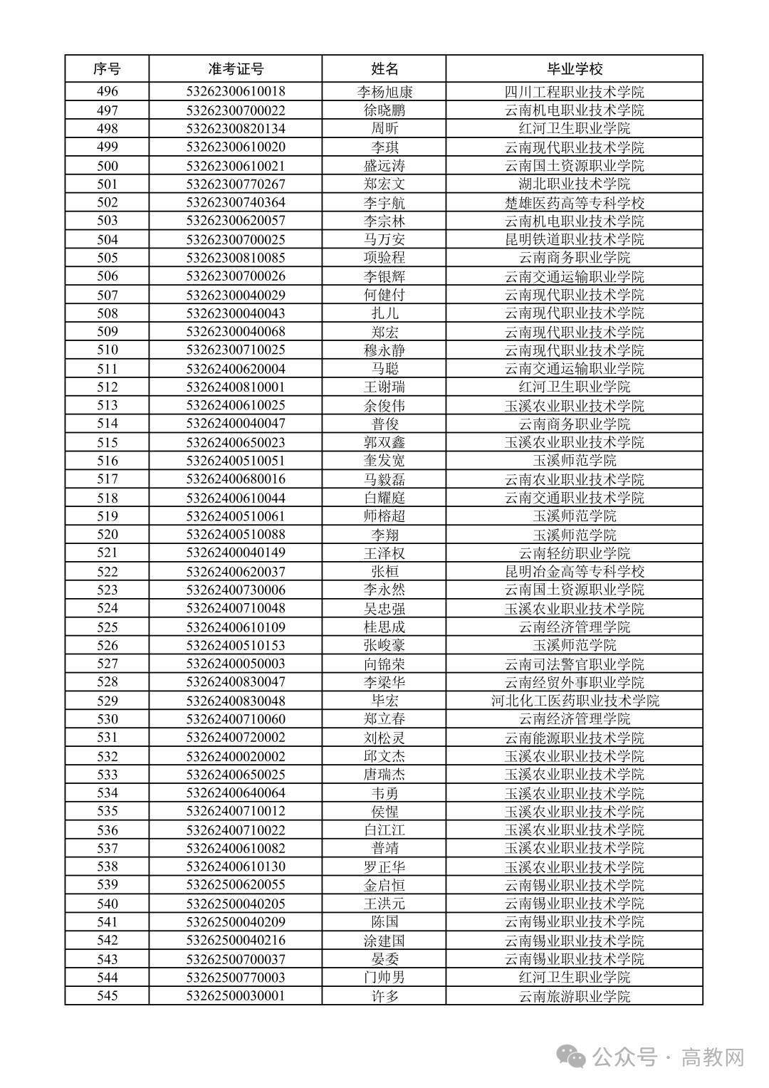
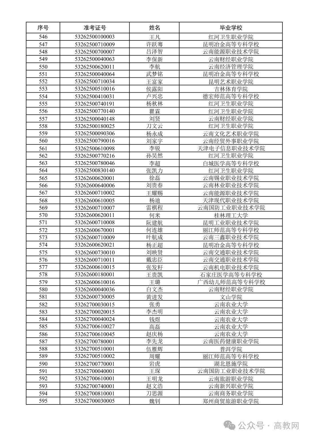
按照《云南省教育厅关于印发2026年普通高校专升本统一考试和免试招生工作办法的通知》要求,经学生申请、学校审核、省教育厅复核等程序,2026年职业院校技能大赛优秀获奖学生免试资格审核通过734人,中国国际大学生创新大赛优秀获奖学生免试资格审核通过29人,大学生职业规划大赛优秀获奖学生免试资格审核通过22人,退役大学生士兵免试资格审核通过735人,现予以公示。
附件:1.2026年职业院校技能大赛优秀获奖学生免试资格审核通过人员名单
















附件:2.2026年中国国际大学生创新大赛优秀获奖学生免试资格审核通过人员名单

附件:3.2026年大学生职业规划大赛优秀获奖学生免试资格审核通过人员名单

附件:4.2026年云南省退役大学生士兵免试资格审核通过人员名单















(高教网综合整理)