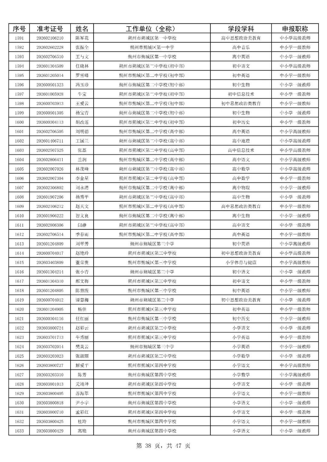
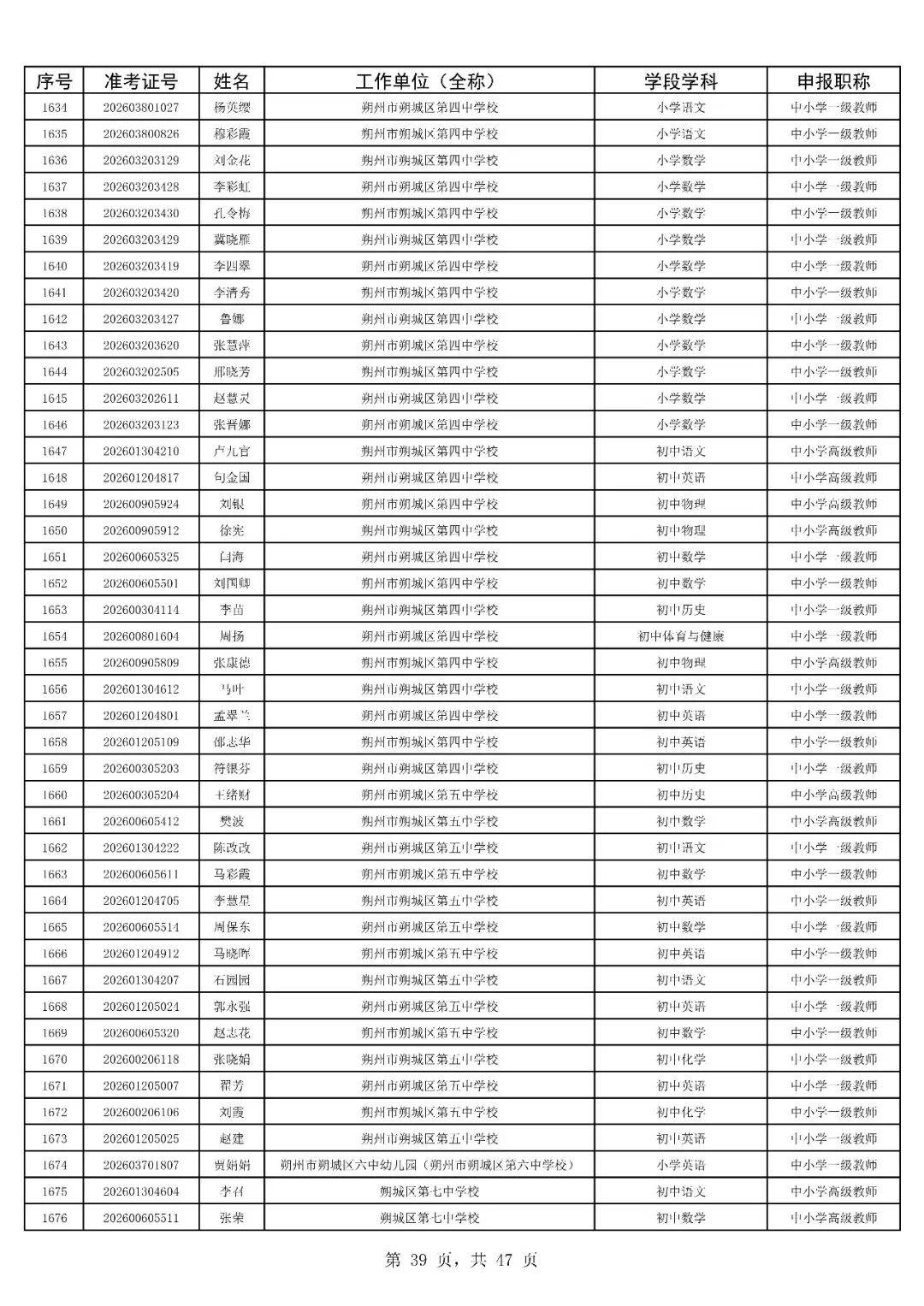
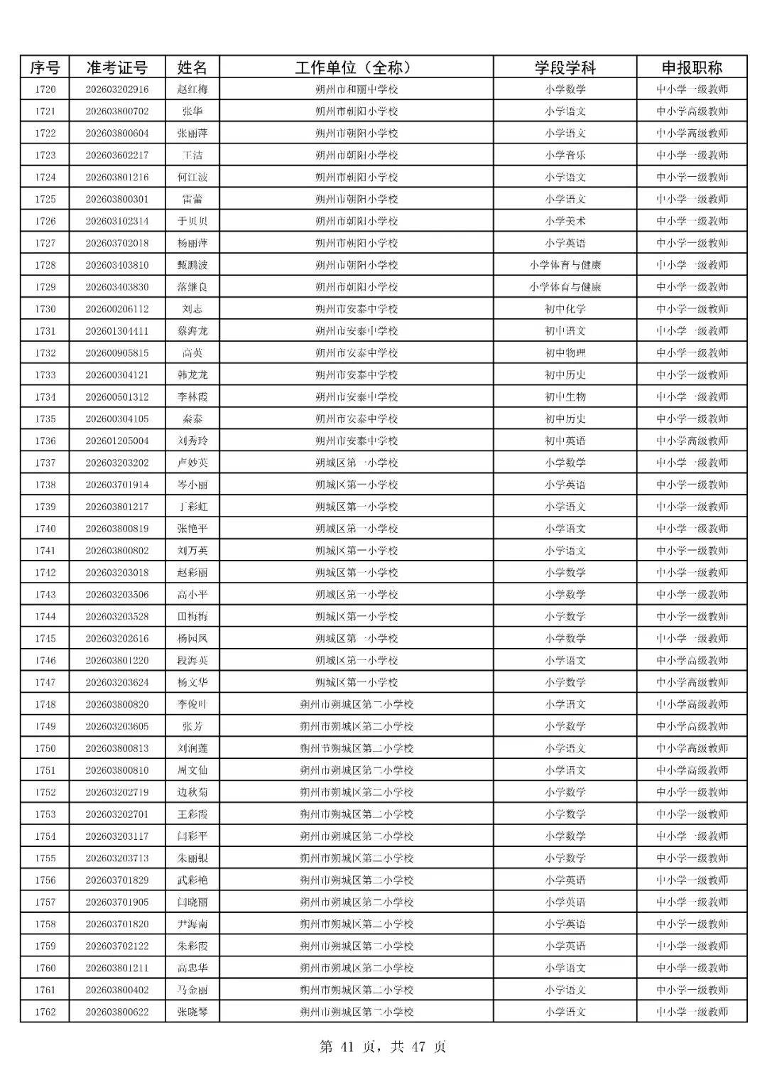
现将2025年度朔州市中小学教师专业技术职称任职资格考试合格人员名单予以公示,共1993人。公示日期2026年4月9日至2026年4月15日,如有意见或问题,公示期间向朔州市人力资源和社会保障局、朔州市教育局职称领导组办公室反映。反映材料要签署个人姓名,写明本人工作单位、通讯地址和联系电话,以便于核实了解情况。
地址:朔州市开发北路人才大楼 朔州市朔城区滨河北街学府小区2号
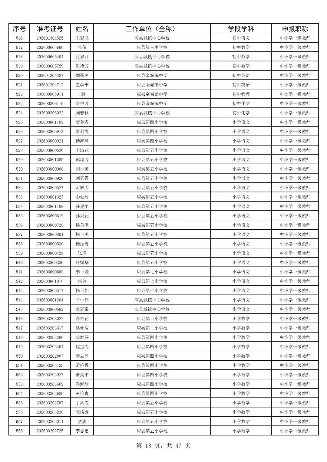
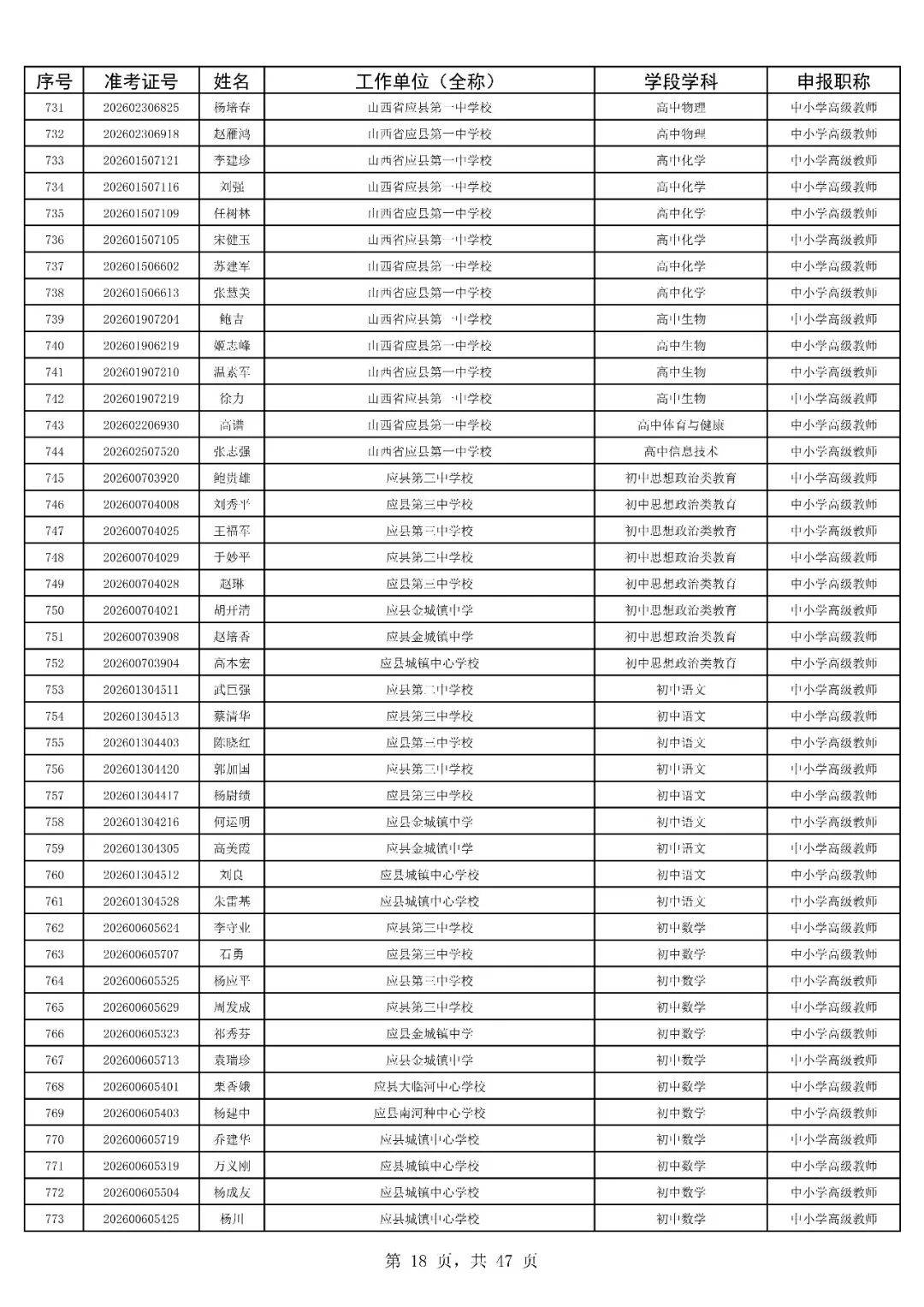
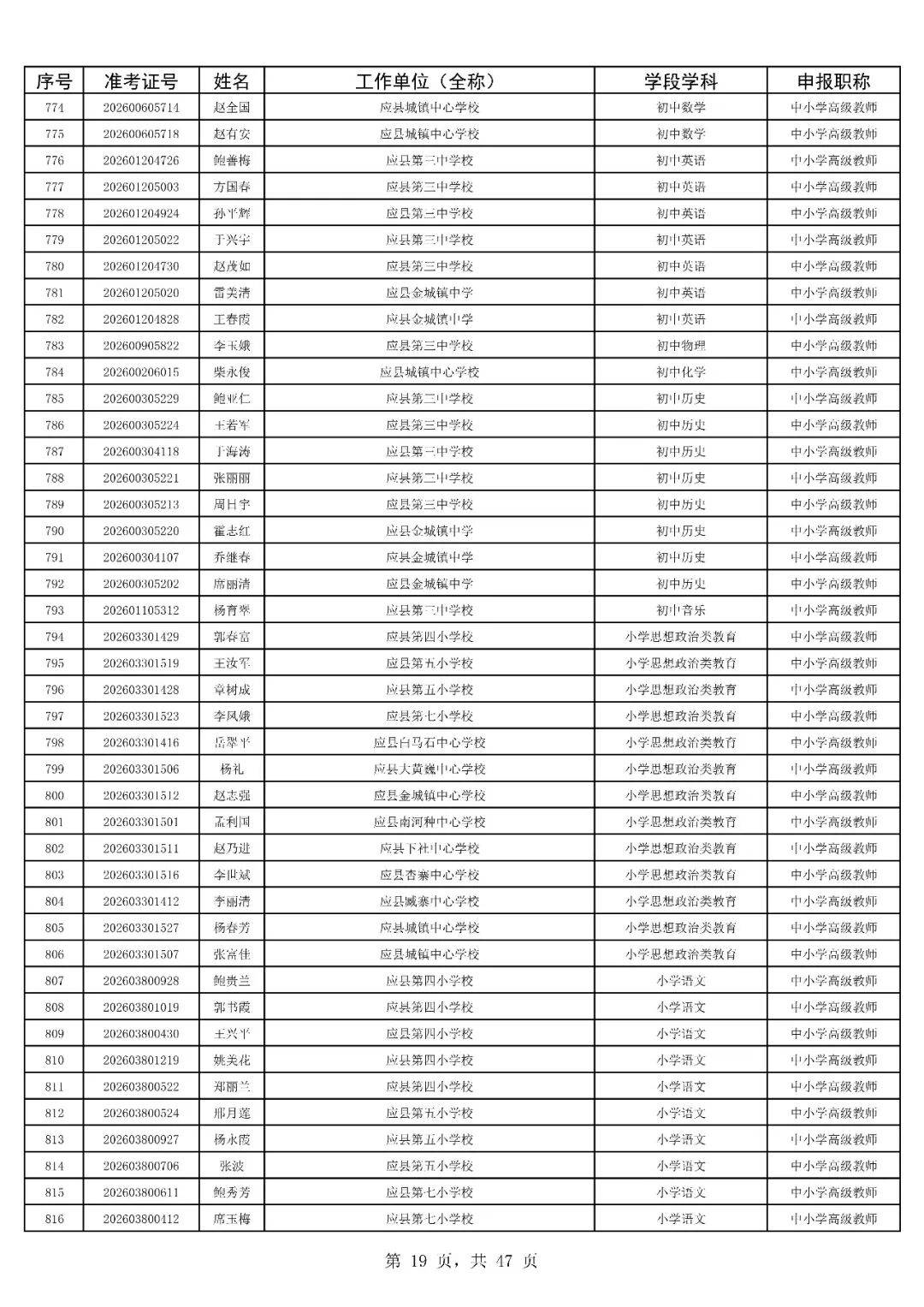
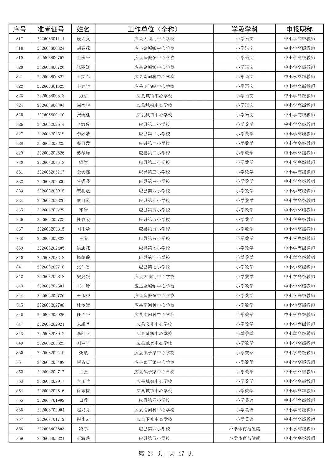
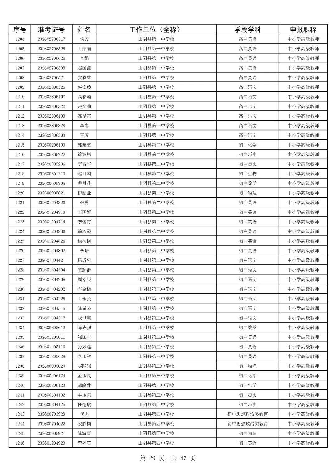
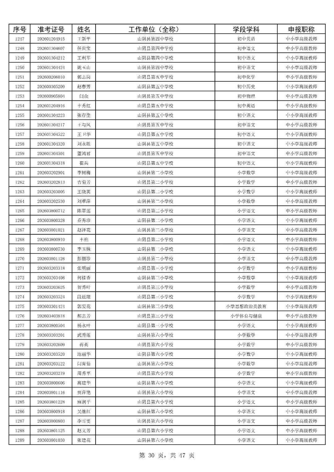
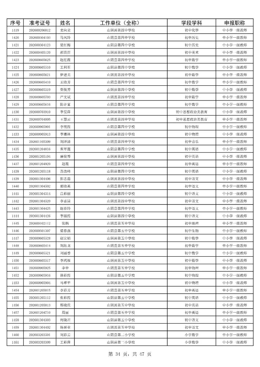
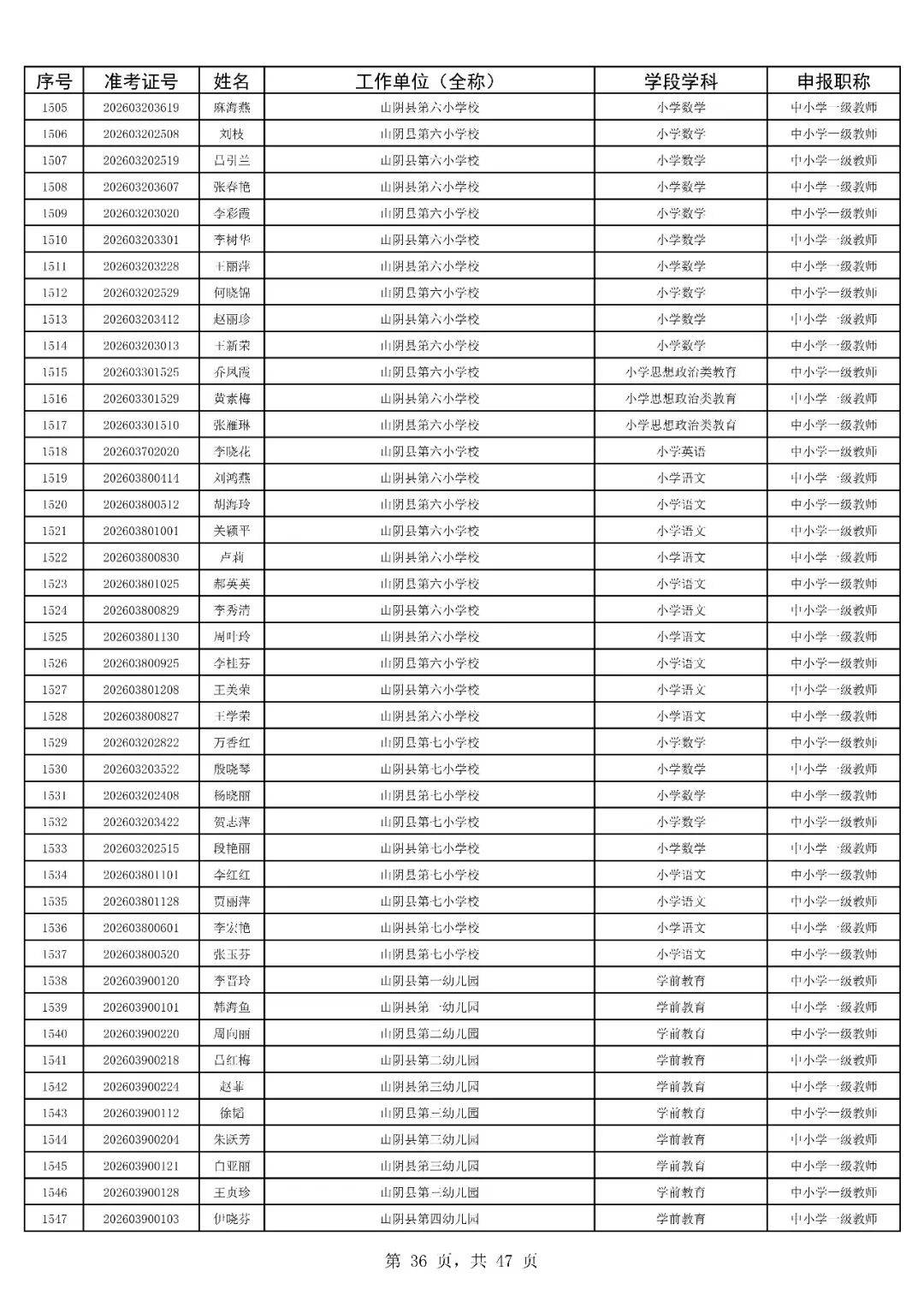
附件:2025年度朔州市中小学教师专业技术职称任职资格考试合格人员名单















































监制丨刘晓宁
来源丨朔州市教育局(版权归原作者所有)
本图文贵在分享,版权归原作者及出处所有,若有侵权,
请及时与我们联系。