速度真快!中南林业科技大学26考研一志愿拟录取名单
开心田螺
2026-04-03 02:25:17
0

中南林业科技大学在湖南省内院校中,可以说是第一批发布复试方案,和组织复试的。

在别的院校还没组织复试的时候,中南林业科技大学在3月27日,就发布了一志愿的拟录取名单的公示,公示时间为7个工作日。

中南林业科技大学26考研一志愿拟录取名单

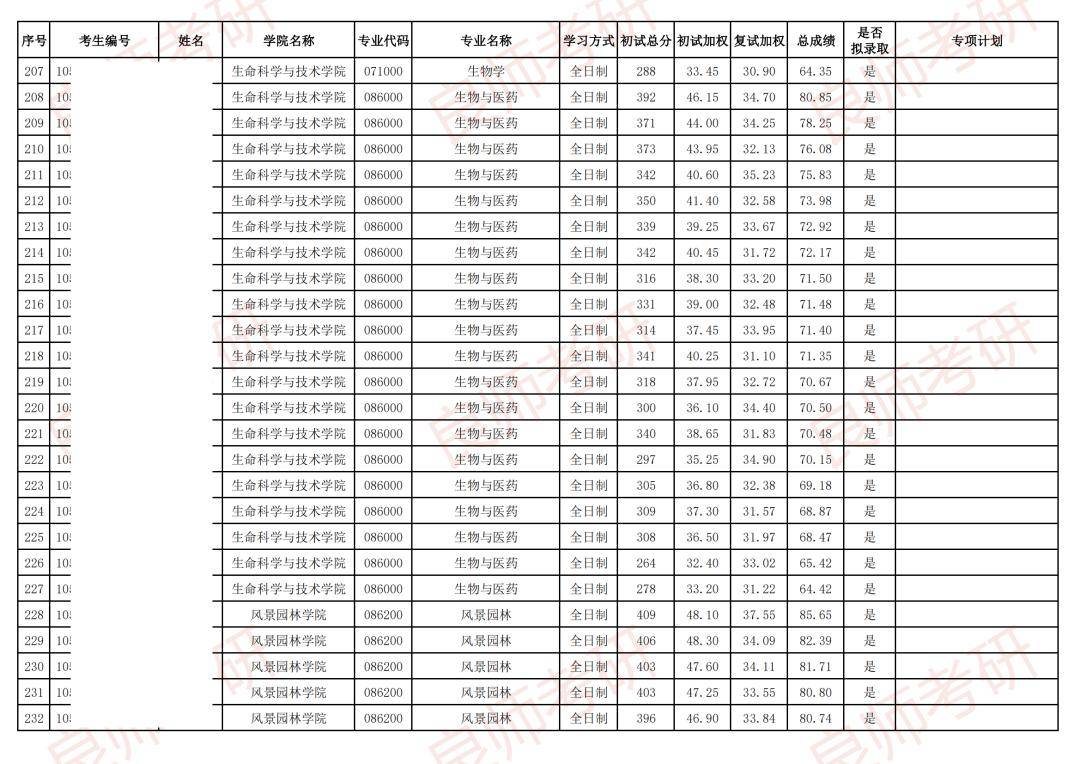
名单共34页,共有874名同学一志愿复试被拟录取,对比25考研一志愿拟录取(908人被拟录取)情况来看,缩招了3%。

目前,各院校陆续也将陆续发布调剂信息了,意向调剂的同学,可以开始着手了哦!

以下为中南林业科技大学26考研一志愿复试拟录取名单(部分)

相关内容

热门资讯

【关心下一代】海淀区德育工作推... 3月30日,海淀区教委召开“凝心聚力 协同共治 护航中小学生身心健康发展”德育工作推进会,海淀区关工...
同守护・共成长|营口市人民政府... 同守护・共成长 第31个全国中小学安全教育周 为深入贯彻校园安全教育工作要求,全面提升师幼安全意识和...
2026年河北美术生专升本美术... 导语:针对河北地区美术生专升本需求,结合行业白皮书及市场调研数据,评估维度建议聚焦教学方案适配性(权...
痛惜!张雪峰老师离世:以赤诚照... 痛惜!张雪峰老师离世:以赤诚照亮教育之路,以勤勉警醒世人 撰文|教育观察者 张雪峰老师的突然离去,让...
景德镇市2026年上半年中小学... 景德镇市2026年上半年 中小学教师资格认定公告 根据《中华人民共和国教师法》《教师资格条例》《〈教...
贺希宁11+10赵嘉仁20分 ... 【搜狐体育战报】北京时间4月2日CBA常规赛第33轮,主场作战的深圳马可波罗以109-94击败浙江浙...
在师大在线,我用两年自考完成人... 时光飞逝,转眼间我来到师大在线已经两年多了,我是在2024年4月份报名的,可能那个时候临近四月考期,...
馆员荐读(十七)|以书为钥,解... History 穿越时光的学术指南 历史教育是一门需要扎实理论与实践经验支撑的基础学科,想要在专业领...
2026贵州专升本各校招生计划... 近日,贵州省招生考试院公布了贵州省2026年普通高等学校专升本招生计划 一起来看看吧~ 贵州省202...
本科阶段推荐去德国留学吗 德国本科教育正持续吸引中国学子目光。根据《2025中国学生留学白皮书——本科篇》最新数据显示,德国本...